14 de junio, 2022
< Volver

El Consejo de Ministros, a petición del Ministerio para la Transición Ecológica y el Reto Demográfico (Miteco), ha autorizado la propuesta de distribución territorial de créditos gestionados por las comunidades autónomas y las ciudades de Ceuta y Melilla por un importe de 174,5 millones de euros del Plan de Recuperación,Transformación y Resiliencia (PRTR) para el ejercicio presupuestario 2022 en el marco del componente 5 ´Preservación del espacio litoral y de los recursos hídricos´.

Los criterios de distribución de ambas ayudas, que fueron consensuadas con las comunidades autónomas en la Comisión Sectorial de medio Ambiente del 17 de mayo, se ratificarán, una vez autorizados por el Consejo de Ministros, en la Conferencia Sectorial de Medio Ambiente prevista para este mes de junio. Según el acuerdo, los fondos se destinarán a dos líneas de inversión:

  • El plan de actuaciones de protección y adaptación al riesgo de inundación e integración ambiental en núcleos urbanos, dotado con 74,5 millones de euros.
  • La línea de actuación 2 a las comunidades autónomas del PERTE de digitalización del ciclo del agua, para el que se autoriza una partida de 100 millones de euros.


Impacto de las inundaciones

El Plan de actuaciones de protección y adaptación al riesgo de inundación e integración ambiental en núcleos urbanos servirá para subvencionar actuaciones dirigidas a restaurar ecosistemas fluviales y reducción del riesgo de inundaciones que pongan en marcha soluciones basadas en la naturaleza y que permitan, a la vez, mejorar el estado de los ríos y su adaptación al cambio climático. Estas ayudas irán dirigidas a avanzar en la consecución del hito 77 del PRTR, que insta a restaurar, al menos, 200 kilómetros de cauces y riberas y proteger a 40.000 habitantes del riesgo de inundación en España.

Las actuaciones objeto de esta subvención deben estar enmarcadas en los planes de gestión del riesgo de inundación de segundo ciclo, o bien en los futuros planes hidrológicos de cuenca. Como requisito se les exige dar prioridad a la recuperación ambiental de las masas de agua y la protección frente a inundaciones. Asimismo, los criterios de distribución tendrán en cuenta el impacto de las inundaciones en España -calculado a partir de la indemnizaciones pagadas por daños reales por el Consorcio de Compensación de Seguros-, la población residente en la zona inundable de 500 años de periodo de retorno de origen fluvial y, finalmente, la longitud de las áreas de riesgo potencial significativode inundación de origen fluvial.

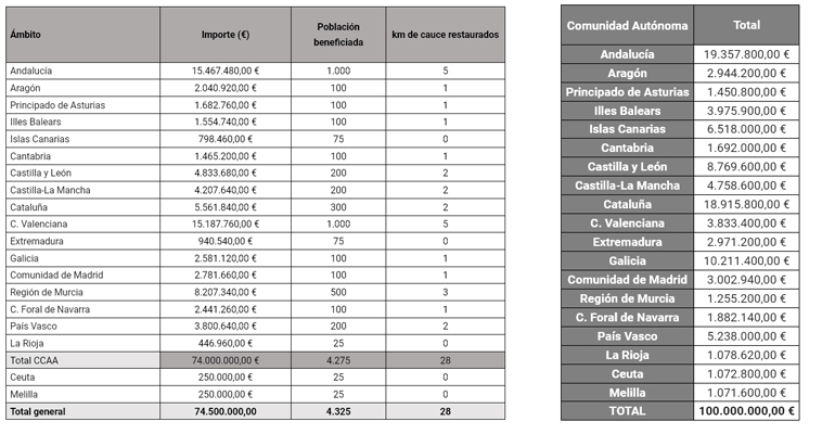
En Ceuta y Melilla, amparadas por un régimen especial, se distribuirán 250.000 euros para cada ciudad autónoma, independientemente de estos criterios. En el resto del territorio nacional el reparto se hará de acuerdo a la tabla adjunta (ver imágenes).

En relación con las actuaciones a realizar -bien directamente a través de las Comunidades Autónomas, ciudades autónomas u organismos que de ellas dependan o bien a través de convocatorias en concurrencia competitiva entre las distintas administraciones competentes- podrán incluir: obras de recuperación ambiental y mejora del estado de cauces y riberas, actuaciones de recuperación hidrológica forestal y estabilización de laderas, o actuaciones asociadas a la implantación de los distintos mecanismos de protección civil recogidos en los PGRI y planes autonómicos de protección civil.

Este nuevo reparto se suma a una primera convocatoria de ayudas distribuidas a través de la Fundación Biodiversidad, que en diciembre de 2021 destinó 75 millones de euros para el fomento de actuaciones dirigidas a la restauración de ecosistemas fluviales y a la reducción del riesgo de inundación en los entornos urbanos destinadas a corporaciones municipales, diputaciones, provinciales y comunidades autónomas uniprovinciales. Además, y al margen de estas dos subvenciones, la Dirección General del Agua del Miteco y las confederaciones hidrográficas están invirtiendo otros 150 millones de euros adicionales en actuaciones destinadas a la restauración fluvial y a la prevención de inundaciones.


Digitalización del ciclo del agua

Por otro lado, el Consejo de Ministros ha autorizado una partida de 100 millones de euros a distribuir por la Comisión Sectorial de Medio Ambiente. En concreto, 40 millones de euros se destinarán a impulsar la digitalización de las administraciones de las comunidades autónomas con competencia en la gestión del dominio público hidráulico a través de las demarcaciones hidrográfica intracomunitarias. Para los criterios de reparto de estos 40 millones se tendrá en cuenta tanto la superficie del ámbito intracomunitario de la demarcación respecto a la superficie total de las demarcaciones intracomunitarias (40%) como el número de población en el ámbito intracomunitario de la demarcación, respecto a la población total de las demarcaciones intracomunitarias (60%)

Las actuaciones que serán objeto de estas ayudas son las relativas a la mejora, a través de la digitalización, de los procesos administrativos y mejora del conocimiento en materia de gestión del dominio público hidráulico, las actuaciones relativas a la mejora de la información hidrológica y control de los usos del agua y el apoyo a la digitalización de las infraestructuras hidráulicas existentes de titularidad pública.

Los otros 60 millones de euros se destinarán a impulsar la digitalización de las administraciones hidráulicas de las comunidades autónomas y entidades locales, en especial de los municipios menores de 20.000 habitantes. En este caso, los criterios de reparto serán la población total de la comunidad, la población en municipios menores de 20.000 habitantes, la superficie total de la comunidad, el porcentaje de pérdidas reales en red y, finalmente, el número de vertidos autorizados de aguas superficiales al dominio público hidráulico de la comunidad autónoma.

Será objeto de ayuda las intervenciones en mejora de la digitalización interna de cualquiera de las administraciones u organismos que tengan determinadas competencias en la gestión del agua, así como las de apoyo a las entidades locales que permitan una mejora de la digitalización de sus sistemas de gestión del ciclo del agua urbana. El reparto final de las ayudas se efectuará acorde con lo consignado en la tabla adjunta (ver imágenes).


Noticias relacionadas

comments powered by Disqus

Utilizamos cookies propias y de terceros para analizar nuestros servicios y mostrarle publicidad relacionada con sus preferencias en base a un perfil elaborado a partir de sus hábitos de navegación (por ejemplo, páginas visitadas o videos vistos). Puedes obtener más información y configurar sus preferencias.

Configurar cookies

Por favor, activa las que quieras aceptar y desactiva de las siguientes las que quieras rechazar. Puedes activar/desactivar todas a la vez clicando en Aceptar/Rechazar todas las cookies.

Aceptar/rechazar todas
Cookies Analíticas

Cookies que guardan información no personal para registrar información estadística sobre las visitas realizadas a la web.

Cookies de Marketing

Cookies necesarias para determinadas acciones de marketing, incluyendo visualización de vídeos provenientes de plataformas como Youtube, Vimeo, etc. y publicidad de terceros.

Cookies de Redes Sociales

Cookies relacionadas con mostrar información provenientes de redes sociales o para compartir contenidos de la web en redes sociales.